You are here: CSP Developer’s Guide: Overview > 8 DSP Series 2 Cards Product Description > Unified Conference
The Unified Conference type provides the following functionality:
• Conferees can be µ-Law, A-Law, or mixed. There is no need to specify the encoding when creating the conference.
• Unlimited Broadcast or "listen only" capability (µ-Law and A-Law)
• Dynamically increase conference size
Dynamic Sizing
You can connect channels to a conference even if the number of conferees exceeds the configured conference size, as long as the DSP Chip hosting the conference has available resources.
When the CSP creates a Unified conference, it places the conference on whichever DSP chip has the largest number of free channels at that moment, maximizing the opportunity for that conference to grow dynamically.
Child Conference
You can create a private sub-conference (child conference) within a larger conference (parent conference). When a smaller group of participants within a larger conference want to talk privately, they can do so while still hearing the audio from the larger conference. The sub-conference parties participate with one another in full duplex, while becoming listen-only parties in the larger conference.
The feature allows users to create a child conference, move parties from the parent conference to the child conference and back, and delete the child conference.
No Resource Points are used for a Child Conference unless a leg is added to the child conference. If a leg is added to the child conference, Resource Points are consumed the same way they are consumed in parent conference.
DTMF Clamping
You can enable DTMF Clamping on a Unified conference to prevent DTMF echo. DTMF echo causes false DTMF indications on conference legs. This feature enables users to provide DTMF digit receivers on each conference leg without one conference participant inadvertently controlling another participant’s conference parameters.
Conferencing over an EXNET® Ring
For a Unified conference, two local timeslots per conference are allocated to broadcast over the ring in both µ-law and A-law. In contrast, conference types 0xN7, 0xN8, 0xN9, and 0xNA, use only one local timeslot per conference to broadcast over the ring, in either µ-law or A-law, but not both. Users who use only µ-law do not need to allocate midplane ports for A-law, and vice versa.
Supervisor Conference
This feature provides support for a new conferee type for unified conferences on both the DSP Series 2 and DSP Series 2 Plus cards This feature will handle a typical call center scenario that involves a caller, operator and supervisor.
The caller will be connected to a conference in an input-only mode. The operator and the supervisor will be connected to a conference in two-way mode. The caller and the operator will be connected using a one-way connect message to enable the caller to hear to the operator.
• The operator can talk and hear both the caller and supervisor
• The supervisor can hear the caller, but the caller cannot hear the supervisor.
Configuring this Feature
To configure this feature, the Resource Connect (0x0127) message shall be used to connect the caller, agent and supervisor to a unified conference. The caller will be connected in a new talk-only mode. The agent and the supervisor will be connected in the two-way connect mode.
The optional Connection Type TLV (0x0612) will be used to specify the type of the connection to the conference. A party connected in talk-only mode will require the same number of resource points (for example, 8 resource points) as a party connected in two-way mode.The host should be able to connect a one-way (talk only) conferee in a conference to another channel using one-way connect.
The caller channel has to be connected to the conference in one-way talk only mode and the agent channel is connected to the conference in two-way mode. The Connect One-Way Forced (0x0050) message, used to specify the agent as source channel and caller as destination channel, shall be used to connect them so that the caller will be able to hear the agent.
The host should be able to query the connection type of a one-way (talk only) conferee. If the host sends the System Configuration Query (0x00B4) message with Report Type as Detailed Conference Information 0x10, the Generic Report (0x0046) message returns the connection type of a one-way connected (talk-only) conferee as 0x03.
Functional Description
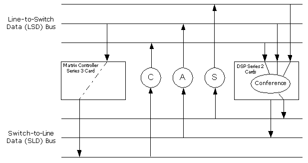
The following functional description provides an example of this feature. Refer to the figure below.
Channel A is the agent, C is the caller and S is the supervisor.
Channels A and S are connected two-way to the conference. So the DSP Series 2 card reads the LSD bus for these two timeslots and transmits the conference output on the SLD bus for these.
Channel C is connected in input-only mode to the conference. So the DSP Series 2 card reads the LSD data for this timeslot and adds it to the conference.
Channel C is connected to channel A using one-way connect. So the CSP Matrix Series 3 Card reads the LSD bus for timeslot A and switches this data on the SLD bus for channel C.
Therefore A and S are able to converse and listen to C. C will be able to hear only A.
Figure 8-3 Conference with Caller, Agent and Supervisor
Call Flow
The following call-flow shows the sequence of messages between the host and the CSP when setting up a unified conference between a caller, agent and supervisor.
Configuration
See Creating a Conference.